شایعات چگونه پخش می شوند؟ ریاضی صحبت کردن
[ad_1]
آیا تاکنون فکر کرده ایم که چه نوع شایعات یا شایعاتی در جامعه پخش خواهد شد؟ در گذشته ، پخش اخبار فقط از مکالمات مستقیم مردم بود ، اما با ظهور ارتباطات ، اخبار و شایعات با سرعتی گسترش می یابد ، شما حتی به این قراردادها فکر نمی کردید.
نمونه جالب تر از آنچه که یک شبکه اجتماعی به نظر می رسد توییتر ، توییتر او است. این شبکه اجتماعی چگونه طراحی شد؟ چه زمانی می توانید انتظار داشته باشید که پست شما همه گیر شود (به اصطلاح FavStar Twitter)؟ برای مشهور شدن در فضای رسانه های اجتماعی ، چه راهکارهایی را دنبال می کنید؟

جالب است بدانید که مدل ریاضی که پاسخ سؤالات فوق را بیان می کند ، همه چیز است! آنچه شما در توییتر ارسال می کنید دقیقاً مشابه بحران های انجام شده است روم باستان آنها با نحوه پخش اخبار برای همه مردم روبرو شدند. با این حال از خواندن این تعجب نکنید
عبارت مدل سازی ریاضی یک پخش خبر دقیقاً شبیه ویروس است که مانند SK پخش می شود! چه تفاوتی بین یک خبر و شایعه با ویروس کرونا وجود دارد؟ هیچ تفاوتی در ماده وجود ندارد ، در هر دو مورد (ویروس و شایعه) بخش کمی از افراد هر لحظه تحت تأثیر قرار می گیرند. ویروس (یا شایعات) ممکن است در افراد گسترش نیافته و شکست بخورد ، و ویروس (یا شایعات) ممکن است در افراد گسترش یابد.

در این مقاله ، شیوع بیماری های همه گیر ، به ویژه مدل های انتشار ویروس را تحلیل می کنیم. سوال اصلی این است که چه تعداد از افراد به یک بیماری مانند بیماری انسداد قلب و عروق قلب مبتلا می شوند و چه تعداد مرگ و میر در آن ایجاد می شود؟ ما دریافتیم که برای پاسخ به سؤال مهم فوق ، باید سه پارامتر زیر را برای پیش بینی و مدل سازی بدانیم:
- هر بیمار به طور متوسط چند نفر دارد؟
- میزان آسیب (احتمال عفونت) برای یک فرد سالم از یک بیمار چقدر است؟
- میزان پیشرفت در سیستم بهداشتی چقدر است؟
با دانستن سه پارامتر فوق برای هر بیماری ، می توان انتظار داشت که درصد افراد در هر زمان بیمار شوند و ویروس مانند کوروناس در کل ، درصد کمی از جمعیت را آلوده می کند.

در این بخش می خواهیم بررسی کنیم که چگونه الگوی 40 کلاغی در جامعه از طریق شیوع این بیماری همه گیر طراحی شده است. مطابق توضیحات ، در یک شبکه اجتماعی (مانند توییتر) به عنوان ویروس در نظر بگیرید. در هر لحظه خاص پس از انتشار ویروس شایعه ، بخش کوچکی از جامعه خبری آن را دریافت می کنند ؛ یا آن را می شنوند و آن را فراموش می کنند (آنها از جلسه خارج می شوند) یا آن را به شخص بعدی منتقل می کنند (مانند بازتوییت مجدد).

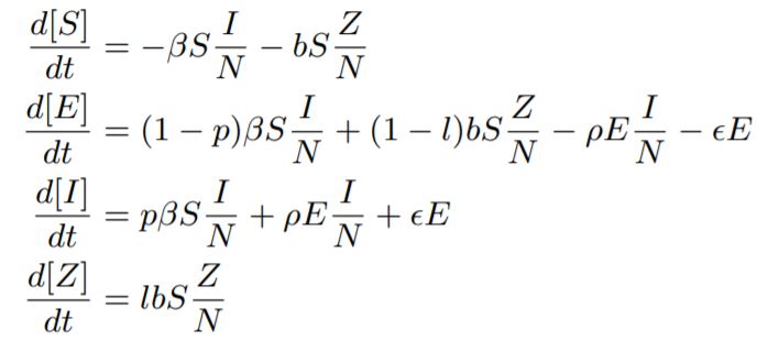
در زیر بیان یک مدل ریاضی برای شایعات و اپیدمی های خبری آورده شده است مدل SEIZ ما می پردازیم ما مردم را در شبکه های اجتماعی به چهار دسته تقسیم می کنیم:
- گروه آسیب پذیر: افرادی که هرگز در معرض یک شایعه قرار نگرفته اند.
- گروه آلوده: افرادی که به شایعه اعتقاد دارند و گسترش می دهند.
- گروه در معرض دید: افراد متأثر ، اما هنوز اعتقادی به گسترش شایعات نداشته اند.
- شکاک: افرادی که این شایعه را شنیدند اما آن را باور نکردند و آن را رد کردند.
نمودار زیر رابطه چهار دسته فوق را نشان می دهد:

اگر معادلات نرخ لحظه را برای هر چهار دسته زمان بنویسیم:

ما معمولاً اطلاعات کمی در مورد ثابت های ذکر شده در بالا داریم. به عنوان مثال در توییتر ، تنها اطلاعات مفصلی که در اختیار داریم محدود به داده های عمومی زیر است:
- تعداد کل کاربران: 175 میلیون
- تعداد کاربران فعال: 39 میلیون
- کاربران جعلی: 0.5 میلیون
- دنبال کنندگان: 90 میلیون
- کاربران غیر کاربر: 56 میلیون
مدل ریاضی فوق بیان بسیار دقیقی از شایعه پخش شده در یک شبکه اجتماعی مانند توییتر می دهد. نتایج تحقیقات آقای پرنگ ساراف نشان می دهد که این مدل با داده های بررسی شده توسط برخی شایعات توئیتر رایج مطابقت دارد. نتایج برخی از بررسی ها را می توان در زیر مشاهده کرد.


1. اگر می خواهید در صدر هرم خبر باشید ، سعی کنید به محض رسیدن خبر ، آن را به شخص بعدی منتقل کنید. سپس یک زیر مجموعه بزرگتر خواهید داشت.

2- اعتماد سازی در فضای ذهنی شبکه بسیار مؤثر است. سعی نکنید هیچ خبری را منتشر نکنید ، معمولاً خبرهای بدی بین آنها وجود دارد و این باعث می شود اعتماد به نفس شما پیروانتان آسیب برساند.
3. نمونه ای از فضای مطبوعات Space Rome Ancient با همان الگویی که اکنون در توییتر می بینیم کار می کند. تفاوت اصلی در مقدار پارامترهای ذکر شده در مدل ریاضی زیاد است.
4- اگر شایعه به اندازه کافی قوی نباشد (مانند ویروس با میزان آلودگی و شیوع پایین) ، پس از مدتی می میرد و به بیماری همه گیر نمی شود.
5- افراد موفق در شبکه های اجتماعی ، با ارزیابی پیروان ، از پارامترهای ریاضی ایده خوبی می گیرند! (بدون درک اینکه ریاضیات پیچیده آنها در عمل انجام می دهند). سپس معجزه ای در کار آنها مشاهده می کنیم که با هر پستی تعداد زیادی خواننده را به خود جلب می کند.
منابع:
- کتاب: علوم شبکه
- کتاب: مقدمه ای بر اپیدمیولوژی ریاضی
- مدل سازی اپیدمیولوژیک اخبار و شایعات در توییتر
- یک مدل ریاضی از گسترش همه جا
[ad_2]
جهت دیدن مقالات بیشتردر مجموعه مطالب عمومی کلیک کنید
منبع خبر: شایعات چگونه پخش می شوند؟ ریاضی صحبت کردن
مسوولیت کلیه محتوای سایت بر عهده منابع اصلی بوده و بانک مشاغل اینفوجاب هیچ مسوولیتی در قبال محتوا ندارد.